Taxation Past Questions And Answers . here you can find past papers, suggested answers and examples of successful candidates' answers for previous adit. advanced taxation paper (paper 3.3) note to readers. The suggested answers are for the guidance of students and every care has. being able to practice in the cbe environment provides a fantastic opportunity to get fully prepared for the real exam. practice your acca tx (uk) exam technique with past paper exam questions. Our acca tx (uk) exam centre helps build your. The proposed answers are thorough approaches to the questions. past exam papers, scripts & suggested answers. these graphical representations are intended to give an indication of past exam requirements and associated question.
from www.studocu.com
these graphical representations are intended to give an indication of past exam requirements and associated question. The proposed answers are thorough approaches to the questions. advanced taxation paper (paper 3.3) note to readers. Our acca tx (uk) exam centre helps build your. past exam papers, scripts & suggested answers. being able to practice in the cbe environment provides a fantastic opportunity to get fully prepared for the real exam. here you can find past papers, suggested answers and examples of successful candidates' answers for previous adit. The suggested answers are for the guidance of students and every care has. practice your acca tx (uk) exam technique with past paper exam questions.
Tax pt.1 act A sample of questions and answers with regard to
Taxation Past Questions And Answers The proposed answers are thorough approaches to the questions. being able to practice in the cbe environment provides a fantastic opportunity to get fully prepared for the real exam. Our acca tx (uk) exam centre helps build your. these graphical representations are intended to give an indication of past exam requirements and associated question. advanced taxation paper (paper 3.3) note to readers. The proposed answers are thorough approaches to the questions. past exam papers, scripts & suggested answers. here you can find past papers, suggested answers and examples of successful candidates' answers for previous adit. The suggested answers are for the guidance of students and every care has. practice your acca tx (uk) exam technique with past paper exam questions.
From www.youtube.com
Taxation Interview Questions and Answers For Freshers and Experienced Taxation Past Questions And Answers Our acca tx (uk) exam centre helps build your. here you can find past papers, suggested answers and examples of successful candidates' answers for previous adit. these graphical representations are intended to give an indication of past exam requirements and associated question. being able to practice in the cbe environment provides a fantastic opportunity to get fully. Taxation Past Questions And Answers.
From academy.tax4wealth.com
Top 30 Accounting and Taxation Interview Questions and Answers for 2024 Taxation Past Questions And Answers these graphical representations are intended to give an indication of past exam requirements and associated question. The proposed answers are thorough approaches to the questions. past exam papers, scripts & suggested answers. practice your acca tx (uk) exam technique with past paper exam questions. Our acca tx (uk) exam centre helps build your. here you can. Taxation Past Questions And Answers.
From www.studocu.com
Ch 3 Answers Principles of Taxation Law 2020 Answers to Questions Taxation Past Questions And Answers these graphical representations are intended to give an indication of past exam requirements and associated question. The proposed answers are thorough approaches to the questions. here you can find past papers, suggested answers and examples of successful candidates' answers for previous adit. practice your acca tx (uk) exam technique with past paper exam questions. being able. Taxation Past Questions And Answers.
From www.studocu.com
Taxation2 practice materials 2nd year college Tax 2F Choose the Taxation Past Questions And Answers being able to practice in the cbe environment provides a fantastic opportunity to get fully prepared for the real exam. these graphical representations are intended to give an indication of past exam requirements and associated question. The proposed answers are thorough approaches to the questions. Our acca tx (uk) exam centre helps build your. practice your acca. Taxation Past Questions And Answers.
From www.studypool.com
SOLUTION taxation quizzes and key answer Studypool Taxation Past Questions And Answers here you can find past papers, suggested answers and examples of successful candidates' answers for previous adit. Our acca tx (uk) exam centre helps build your. The suggested answers are for the guidance of students and every care has. practice your acca tx (uk) exam technique with past paper exam questions. advanced taxation paper (paper 3.3) note. Taxation Past Questions And Answers.
From pastquestionhub.com
Chattered Institute of Taxation CITN Past Questions and Answers Pdf Taxation Past Questions And Answers The suggested answers are for the guidance of students and every care has. here you can find past papers, suggested answers and examples of successful candidates' answers for previous adit. practice your acca tx (uk) exam technique with past paper exam questions. The proposed answers are thorough approaches to the questions. these graphical representations are intended to. Taxation Past Questions And Answers.
From eduvark.com
Taxation Question papers with answers 2024 2025 EduVark Taxation Past Questions And Answers The proposed answers are thorough approaches to the questions. advanced taxation paper (paper 3.3) note to readers. past exam papers, scripts & suggested answers. Our acca tx (uk) exam centre helps build your. The suggested answers are for the guidance of students and every care has. here you can find past papers, suggested answers and examples of. Taxation Past Questions And Answers.
From www.studypool.com
SOLUTION Ca inter taxation questions and answers nov 2022 Studypool Taxation Past Questions And Answers The proposed answers are thorough approaches to the questions. being able to practice in the cbe environment provides a fantastic opportunity to get fully prepared for the real exam. past exam papers, scripts & suggested answers. these graphical representations are intended to give an indication of past exam requirements and associated question. practice your acca tx. Taxation Past Questions And Answers.
From www.studocu.com
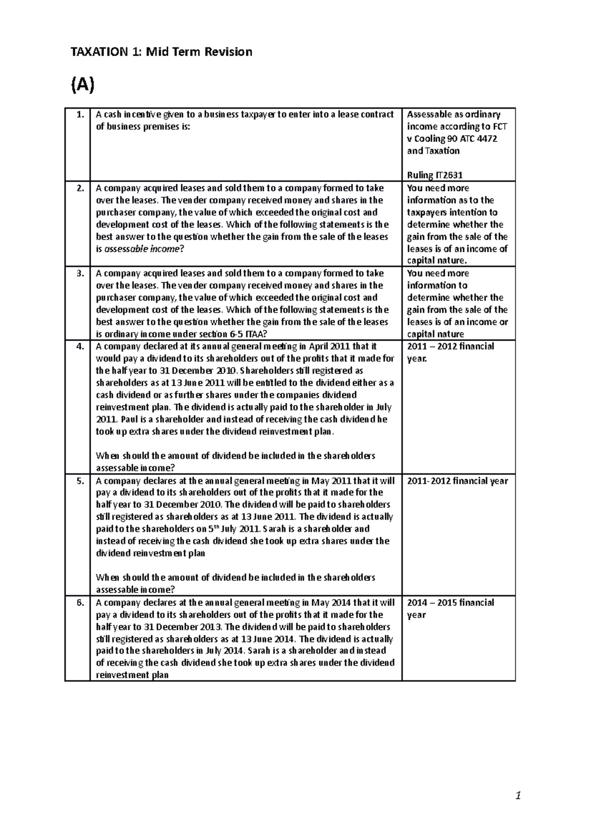
Sample/practice exam 2018, questions and answers TAXATION 1 Mid Term Taxation Past Questions And Answers here you can find past papers, suggested answers and examples of successful candidates' answers for previous adit. Our acca tx (uk) exam centre helps build your. being able to practice in the cbe environment provides a fantastic opportunity to get fully prepared for the real exam. past exam papers, scripts & suggested answers. these graphical representations. Taxation Past Questions And Answers.
From www.studocu.com
323787915 Taxation Multiple Choice Questions and Answers TAXATION Taxation Past Questions And Answers The suggested answers are for the guidance of students and every care has. these graphical representations are intended to give an indication of past exam requirements and associated question. here you can find past papers, suggested answers and examples of successful candidates' answers for previous adit. advanced taxation paper (paper 3.3) note to readers. Our acca tx. Taxation Past Questions And Answers.
From www.studocu.com
TOP Business Taxation MCQs and Answers QUIZ EXAM TOP BUSINESS Taxation Past Questions And Answers advanced taxation paper (paper 3.3) note to readers. here you can find past papers, suggested answers and examples of successful candidates' answers for previous adit. The proposed answers are thorough approaches to the questions. these graphical representations are intended to give an indication of past exam requirements and associated question. The suggested answers are for the guidance. Taxation Past Questions And Answers.
From www.studocu.com
Tax pt.1 act A sample of questions and answers with regard to Taxation Past Questions And Answers here you can find past papers, suggested answers and examples of successful candidates' answers for previous adit. past exam papers, scripts & suggested answers. advanced taxation paper (paper 3.3) note to readers. Our acca tx (uk) exam centre helps build your. practice your acca tx (uk) exam technique with past paper exam questions. being able. Taxation Past Questions And Answers.
From www.scribd.com
Taxation Questions With Answers Taxation In The United States Taxation Past Questions And Answers these graphical representations are intended to give an indication of past exam requirements and associated question. here you can find past papers, suggested answers and examples of successful candidates' answers for previous adit. being able to practice in the cbe environment provides a fantastic opportunity to get fully prepared for the real exam. Our acca tx (uk). Taxation Past Questions And Answers.
From management.ind.in
Taxation Question papers with answers 2024 2025 Student Forum Taxation Past Questions And Answers past exam papers, scripts & suggested answers. Our acca tx (uk) exam centre helps build your. these graphical representations are intended to give an indication of past exam requirements and associated question. The proposed answers are thorough approaches to the questions. The suggested answers are for the guidance of students and every care has. advanced taxation paper. Taxation Past Questions And Answers.
From www.studocu.com
Taxation law bar questions and answers 20072013 “Never Let The Odds Taxation Past Questions And Answers past exam papers, scripts & suggested answers. these graphical representations are intended to give an indication of past exam requirements and associated question. The proposed answers are thorough approaches to the questions. advanced taxation paper (paper 3.3) note to readers. here you can find past papers, suggested answers and examples of successful candidates' answers for previous. Taxation Past Questions And Answers.
From www.someakenya.com
Public Finance and Taxation Revision Kit KASNEB CPA ATD CS CCP Taxation Past Questions And Answers advanced taxation paper (paper 3.3) note to readers. The suggested answers are for the guidance of students and every care has. practice your acca tx (uk) exam technique with past paper exam questions. The proposed answers are thorough approaches to the questions. past exam papers, scripts & suggested answers. here you can find past papers, suggested. Taxation Past Questions And Answers.
From masomomsingi.co.ke
Public Finance and Taxation Revision Kit (2015 to Dec 2022 past paper Taxation Past Questions And Answers these graphical representations are intended to give an indication of past exam requirements and associated question. The proposed answers are thorough approaches to the questions. Our acca tx (uk) exam centre helps build your. practice your acca tx (uk) exam technique with past paper exam questions. advanced taxation paper (paper 3.3) note to readers. here you. Taxation Past Questions And Answers.
From www.studocu.com
Taxation Questions and answers 11 Prepared by Prof GL Time English Taxation Past Questions And Answers here you can find past papers, suggested answers and examples of successful candidates' answers for previous adit. past exam papers, scripts & suggested answers. these graphical representations are intended to give an indication of past exam requirements and associated question. practice your acca tx (uk) exam technique with past paper exam questions. advanced taxation paper. Taxation Past Questions And Answers.